How to Build Balanced Meals Without Counting Calories
Key Takeaway: You don’t need a calculator or food scale to eat well. With simple visual guides and a few basic principles, you can create satisfying, nutritious meals that fuel your body without the mental exhaustion of tracking every number.
Let’s be honest—most of us have tried counting calories at some point, and most of us have also given up on it pretty quickly. Between trying to remember if that apple was medium or large, guessing portion sizes at restaurants, and spending more time with a food tracking app than actually enjoying your meal, it gets exhausting fast.
The good news? Your body is way smarter than any app. It knows when it’s hungry, when it’s satisfied, and what it needs to feel energized. You just need to learn how to listen to it again, and how to build meals that naturally provide what you need without all the number crunching.
Why Calorie Counting Often Backfires
Before we dive into what actually works, let’s talk about why the “calories in, calories out” approach leaves so many people frustrated. It’s not because you lack willpower or discipline—it’s because the system itself has some serious flaws.
The mental load is unsustainable. Research shows that people who track calories spend an average of 23 minutes per day logging food . That’s nearly three hours per week just documenting what you ate. Most of us barely have time to cook dinner, let alone analyze it.
It ignores food quality completely. A 100-calorie pack of cookies and 100 calories of almonds affect your body very differently. One leaves you hungry an hour later, while the other keeps you satisfied. But calorie counting treats them as equals.
It disconnects you from hunger cues. When you’re focused on hitting specific numbers, you stop paying attention to whether you’re actually hungry or full. This can lead to eating when you’re not hungry or stopping when you’re still unsatisfied, just because the app says so.
The numbers are often wrong anyway. Food labels can be off by up to 20%, restaurant estimates are notoriously inaccurate, and your metabolism changes based on countless factors . You’re trying to be precise with imprecise information.
The Visual Approach That Actually Works
Instead of counting, let’s talk about building. Think of creating a balanced meal like putting together an outfit—you want pieces that work well together and make you feel good. Here’s how nutrition experts actually recommend building meals, and it’s surprisingly simple.

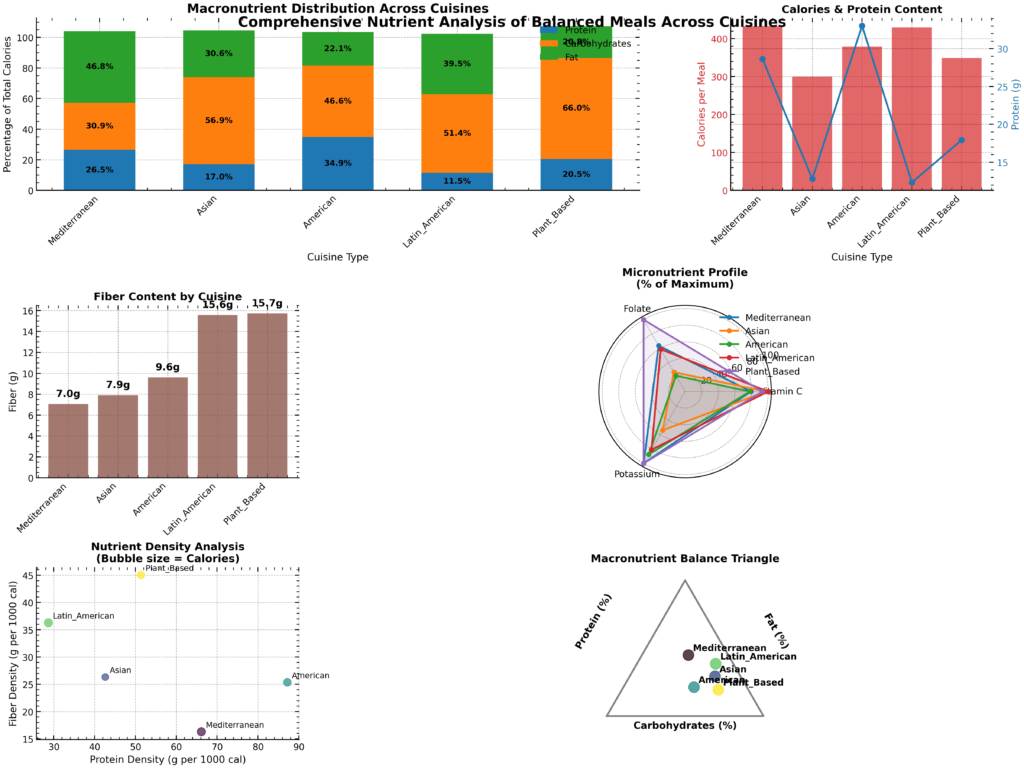
Figure: Comprehensive nutrient analysis showing how different cuisine styles naturally create balanced meals using visual portioning methods
The Plate Method: Your New Best Friend
This is the approach that registered dietitians actually use, and it’s backed by both the USDA and Harvard’s School of Public Health . Here’s how it works:
Half your plate: Vegetables and fruits
This is your foundation. Fill half your plate with non-starchy vegetables like broccoli, spinach, bell peppers, or tomatoes. Add some fruit if you want—berries on your salad, apple slices with lunch, or an orange as dessert.
One quarter: Protein
This includes meat, fish, eggs, beans, tofu, or nuts. Your palm is roughly the right size for a protein serving, but don’t stress about measuring. Just make sure protein takes up about a quarter of your plate space.
One quarter: Whole grains or starchy vegetables
Think brown rice, quinoa, sweet potatoes, or whole grain bread. These give you energy and help you feel satisfied.
A little healthy fat
This might be olive oil on your salad, avocado in your wrap, or nuts sprinkled on your grain bowl. You don’t need much—about a thumb-sized portion.
The beauty of this system: It automatically balances your macronutrients without any math. You get fiber and vitamins from the vegetables, protein for muscle maintenance and satiety, carbohydrates for energy, and healthy fats for nutrient absorption and satisfaction.
The Hand Method: When You Don’t Have a Plate

Sometimes you’re eating a sandwich, a bowl, or grabbing food on the go. That’s where the hand method comes in handy (pun intended). Your hand is perfectly sized for your body—bigger people have bigger hands and need more food, smaller people have smaller hands and need less.
Palm = Protein portion
One palm-sized serving of protein per meal. For women, this is usually enough. Men might need two palm-sized servings.
Fist = Vegetables and fruits
Aim for at least one fist-sized serving of vegetables per meal, more if you can manage it.
Cupped hand = Carbohydrates
One cupped handful of grains, starchy vegetables, or fruit. Again, men might need two.
Thumb = Healthy fats
One thumb-sized portion of fats like oils, nuts, or avocado.
Real-world example: I use this all the time when I’m making a quick stir-fry. Palm-sized piece of chicken, two fists worth of mixed vegetables, a cupped handful of brown rice, and a thumb of sesame oil. No measuring cups needed, and it always turns out balanced.
What Balanced Actually Looks Like Across Different Cuisines
One of the best parts about this approach is that it works with any type of food you actually want to eat. Let’s look at how different cuisines naturally create balanced meals:

Mediterranean Style
- Vegetables: Spinach and tomatoes (loaded with vitamins and antioxidants)
- Protein: Salmon (omega-3 fatty acids for heart health)
- Grains: Quinoa (complete protein plus fiber)
- Fats: Olive oil (heart-healthy monounsaturated fats)
The result: About 433 calories with 29g protein and excellent micronutrient density.
Asian-Inspired
- Vegetables: Bok choy, bell peppers, and carrots (variety of colors and nutrients)
- Protein: Tofu (plant-based protein plus isoflavones)
- Grains: Brown rice (fiber and B vitamins)
- Fats: Mixed seeds (omega-3s and vitamin E)
The result: About 300 calories—the most calorie-efficient balanced meal, perfect for weight management.
American Comfort
- Vegetables: Broccoli and carrots (classic combo, high in fiber)
- Protein: Chicken breast (lean protein for muscle maintenance)
- Grains: Sweet potato (complex carbs plus beta-carotene)
- Fats: Mixed nuts (protein, healthy fats, and satisfaction)
The result: About 379 calories with 33g protein—great for active people or those building muscle.
The takeaway: Every cuisine can create balanced meals. You don’t need to eat “health food” to eat healthily. You just need to include the right proportions of different food groups.
Listening to Your Body’s Signals
Here’s where things get interesting. Once you start building balanced meals, your body becomes much better at telling you what it needs. But if you’ve been dieting for years, those signals might be a little rusty.
The Hunger and Fullness Scale
Think of hunger and fullness on a scale from 1 to 10:

1-2: Extremely hungry
You’re shaky, can’t concentrate, maybe getting hangry. This is too hungry—try to eat before you get here.
3-4: Moderately hungry
Your stomach is growling, you’re thinking about food. This is a good time to eat.
5-6: Satisfied
You’re not hungry anymore, but you’re not uncomfortably full either. This is where you want to stop eating most of the time.
7-8: Full
You feel like you’ve had enough, maybe a little too much. Occasional, but not ideal.
9-10: Uncomfortably full
You’re stuffed, maybe feeling sluggish or uncomfortable. Try to avoid this.
The goal: Start eating around a 3-4, stop around a 5-6. It sounds simple, but it takes practice if you’re used to ignoring these signals.
Rebuilding Trust with Your Body
If you’ve been dieting for years, your hunger and fullness cues might be all over the place. That’s normal, and it’s fixable. Here’s how to start rebuilding that connection:
Eat regularly. Skipping meals or going too long without eating messes with your hunger signals. Aim for three meals and 1-2 snacks if needed.
Slow down. It takes about 20 minutes for your brain to register that you’re full . Put your fork down between bites, chew thoroughly, and actually taste your food.
Check in with yourself. Before you eat, ask: “Am I actually hungry, or am I bored/stressed/tired?” During the meal, pause halfway and ask: “How do I feel? Do I need more food?”
Be patient. If you’ve been restricting or overeating for years, it might take a few months for your hunger cues to normalize. That’s okay—trust the process.
Practical Meal Building for Real Life
Let’s get into the nitty-gritty of how this actually works when you’re standing in your kitchen at 6 PM, tired from work, and trying to figure out dinner.
The 15-Minute Balanced Meal Formula

Start with protein: This is usually what takes the longest to cook, so get it going first. Scrambled eggs, canned beans, leftover chicken, or tofu all work.
Add vegetables: Frozen vegetables are your friend here. They’re just as nutritious as fresh, they don’t go bad, and they cook quickly. Throw them in a pan with a little oil, or microwave them if you’re really pressed for time.
Include a grain or starchy vegetable: Instant brown rice, microwaveable sweet potato, or even a slice of whole grain toast. Don’t overthink it.
Finish with healthy fat: Drizzle olive oil on your vegetables, add avocado to your plate, or sprinkle nuts on top.
Real example: Scrambled eggs with spinach (protein + vegetables), served over a microwaved sweet potato (starch), with a drizzle of olive oil and some everything bagel seasoning (fat + flavor). Total time: 8 minutes.
The Batch-Building Strategy

If you have a little more time on weekends, you can prep components that make weeknight meals super easy:
Cook a big batch of grains: Brown rice, quinoa, or farro. Store in the fridge and use throughout the week.
Prep vegetables: Wash, chop, and store vegetables so they’re ready to throw into meals.
Cook proteins in bulk: Grill several chicken breasts, cook a pot of beans, or hard-boil a dozen eggs.
Make simple sauces: Tahini dressing, pesto, or a basic vinaigrette can transform simple ingredients into something that tastes intentional.
During the week: Combine different components for variety. Monday might be chicken with roasted vegetables and quinoa. Wednesday could be beans with sautéed greens and brown rice. Same components, different combinations.
Troubleshooting Common Challenges

“I’m always hungry an hour after eating”
This usually means your meal was missing something—often protein, fiber, or healthy fats. These three nutrients are what keep you satisfied between meals.
Quick fixes:
- Add a palm-sized serving of protein to your meal
- Include more vegetables (they’re high in fiber and add volume)
- Don’t skip the healthy fats—they’re crucial for satiety
Example: If you had pasta with marinara sauce and you’re hungry again quickly, try adding some white beans (protein + fiber) and a drizzle of olive oil (healthy fat) next time.
“I don’t know when I’m full”
This is super common, especially if you’ve been dieting or eating quickly for years. Here are some strategies:
Eat without distractions: No TV, phone, or computer. Just you and your food.
Put your fork down between bites: This forces you to slow down and actually taste your food.
Use smaller plates: This isn’t about tricking yourself—it’s about giving yourself a visual cue for appropriate portions.
Practice the pause: Halfway through your meal, stop for 30 seconds and check in with your hunger level.
“Healthy food doesn’t fill me up”
If you’re coming from a diet of highly processed foods, whole foods might feel less satisfying at first. Your taste buds and hunger signals need time to adjust.
Make the transition easier:
- Don’t go from 0 to 100 overnight. Make gradual changes.
- Focus on adding good stuff rather than taking away everything you enjoy.
- Make sure you’re eating enough—undereating will make you crave processed foods.
- Season your food well. Bland food isn’t satisfying, no matter how nutritious it is.
“I don’t have time to think about all this”
Fair point. Here’s the ultra-simplified version:
- Fill half your plate with vegetables
- Add some protein
- Include a little bit of grains or starchy vegetables
- Don’t forget healthy fats
That’s it. You don’t need to overthink it, measure anything, or make it complicated.
Making It Work for Your Lifestyle
If You Eat Out a Lot
The plate method works at restaurants too:
Look for dishes that include vegetables, protein, and grains. Stir-fries, grain bowls, and salads with protein are usually good bets.
Don’t be afraid to modify. Ask for extra vegetables, dressing on the side, or brown rice instead of white.
Use your hand as a guide. Restaurant portions are often huge, so eat about a palm-sized portion of protein and stop when you feel satisfied, not when the plate is empty.
If You’re Feeding a Family
Build meals that everyone can customize. Taco night, grain bowls, or pasta with various toppings let everyone get what they need.
Focus on what you’re adding, not what you’re taking away. Instead of “no more chicken nuggets,” try “let’s add some roasted vegetables to go with those nuggets.”
Model the behavior you want to see. Kids learn more from watching what you do than from what you say.
If You’re on a Budget
Balanced meals don’t have to be expensive:
Beans and lentils are your friends. They’re cheap, filling, and packed with protein and fiber.
Frozen vegetables are just as nutritious as fresh and often less expensive.
Buy grains in bulk. Brown rice, oats, and quinoa are much cheaper when you buy larger quantities.
Use eggs as a protein source. They’re one of the most affordable complete proteins available.
The Long-Term Mindset Shift
Here’s what I want you to remember: building balanced meals isn’t about perfection. It’s about creating a sustainable way of eating that makes you feel good most of the time.
Some meals will be perfectly balanced. Others will be a piece of toast with peanut butter because that’s what you had energy for. Both are fine.
Your needs will change. Some days you’ll be hungrier, some days less so. Some weeks you’ll crave more protein, other weeks more carbs. Trust your body to guide you.
Progress beats perfection. Every time you add vegetables to a meal, choose whole grains over refined ones, or pay attention to your hunger cues, you’re moving in the right direction.
Focus on how you feel. Are you energized? Satisfied? Able to concentrate? These are better measures of success than any number on a scale or in an app.
Your Simple Starting Point
If this all feels like a lot, here’s where to begin:
This week: Just focus on the plate method. Half vegetables, quarter protein, quarter grains, plus a little healthy fat. Don’t worry about anything else.
Next week: Start paying attention to your hunger and fullness cues. Eat when you’re moderately hungry, stop when you’re satisfied.
The week after: Experiment with different combinations. Try a new vegetable, a different protein source, or a grain you’ve never had before.
Keep building from there. Add one new habit or skill every week or two. Small changes compound into big results over time.
The Bottom Line
Your body is incredibly smart. It knows how to regulate hunger, process nutrients, and maintain energy levels—if you give it the right tools and listen to its signals.
Building balanced meals without counting calories isn’t about following rigid rules or achieving perfection. It’s about creating a flexible framework that works with your life, not against it.
The plate method gives you structure without stress. Half vegetables, quarter protein, quarter grains, plus healthy fats. Simple, visual, and adaptable to any cuisine or lifestyle.
Your hunger and fullness cues are more accurate than any app once you learn to trust them again. Eat when you’re moderately hungry, stop when you’re satisfied, and adjust based on how you feel.
Balance happens over time, not in every single meal. Some meals will be more balanced than others, and that’s completely normal. Focus on the overall pattern, not individual meals.
Your new mantra: “Good enough is perfect.” A balanced meal that you actually eat and enjoy beats a “perfect” meal that leaves you feeling restricted or unsatisfied.
Start with one meal. Use your plate as a guide, pay attention to how you feel, and trust that your body knows what it’s doing. You’ve got this—and you don’t need a calculator to prove it.







